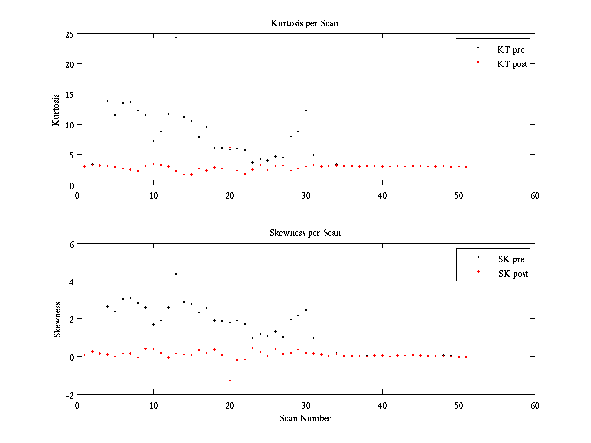
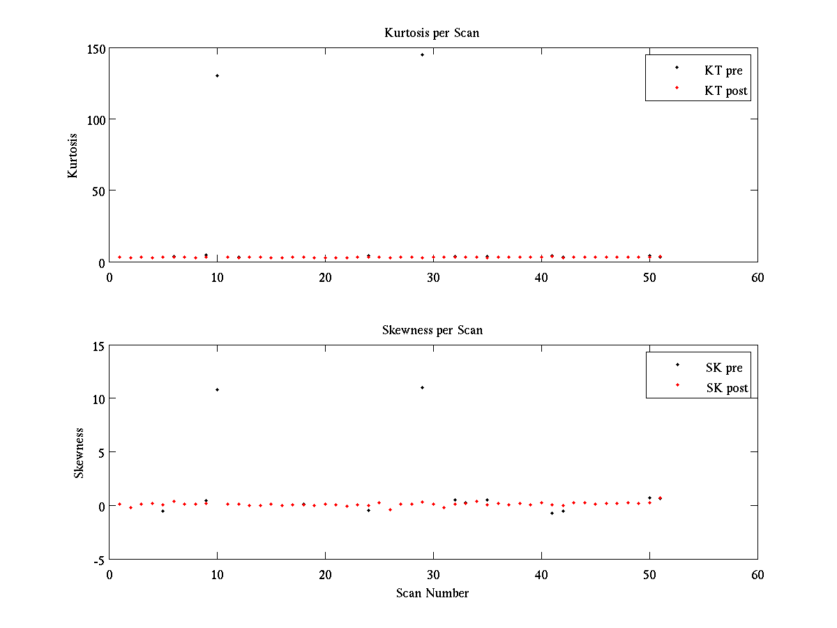
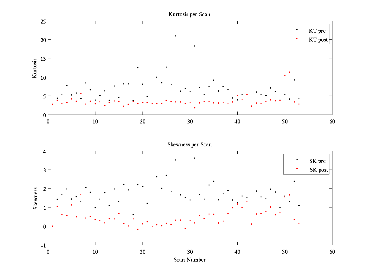
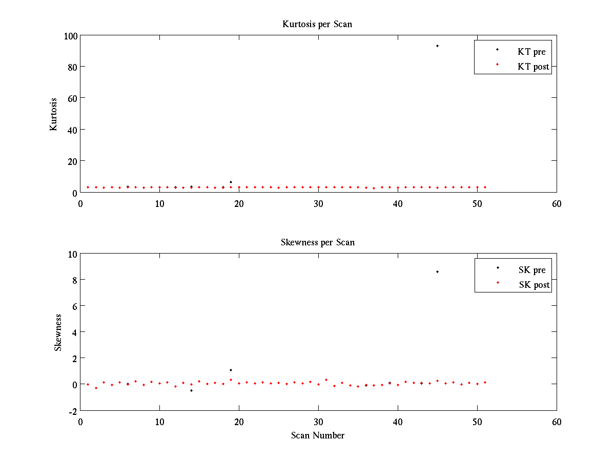
| Date | Full Schedule | Skewness and Kurtosis |
| "01_Feb_2014_01_33_13" |  |  |
| "01_Feb_2014_05_19_46" |  |  |
| "01_Sep_2013_01_44_11" |  |  |
| "01_Sep_2013_03_29_38" |  |  |
| "01_Sep_2013_05_22_04" |  |  |
| "01_Sep_2013_20_19_46" |  |  |
| "02_Feb_2014_15_32_15" |  |  |
| "02_Feb_2014_17_19_47" |  |  |
| "02_Sep_2013_03_43_17" |  |  |
| "02_Sep_2013_05_35_57" |  |  |
| "02_Sep_2013_07_21_18" |  |  |
| "02_Sep_2013_09_22_17" |  |  |
| "02_Sep_2013_11_07_40" |  |  |
| "02_Sep_2013_13_14_38" |  |  |
| "03_Aug_2013_18_09_50" |  |  |
| "03_Aug_2013_19_55_07" |  |  |
| "03_Aug_2013_21_41_41" |  |  |
| "03_Dec_2013_02_07_08" |  |  |
| "03_Dec_2013_11_45_58" |  |  |
| "03_Dec_2013_22_43_22" |  |  |
| "03_Feb_2014_15_51_07" |  |  |
| "03_Jul_2013_02_05_01" |  |  |
| "03_Jul_2013_14_04_42" |  |  |
| "03_Jul_2013_18_13_26" |  |  |
| "03_Jul_2013_22_08_50" |  |  |
| "03_Sep_2013_00_12_08" |  |  |
| "03_Sep_2013_01_57_30" |  |  |
| "03_Sep_2013_03_57_13" |  |  |
| "03_Sep_2013_05_42_33" |  |  |
| "03_Sep_2013_07_43_38" |  |  |
| "03_Sep_2013_09_44_34" |  |  |
| "03_Sep_2013_11_29_56" |  |  |
| "03_Sep_2013_13_36_58" |  |  |
| "03_Sep_2013_17_22_08" |  |  |
| "04_Dec_2013_00_29_01" |  |  |
| "04_Dec_2013_02_29_56" |  |  |
| "04_Dec_2013_04_16_15" |  |  |
| "04_Dec_2013_06_23_15" |  |  |
| "04_Dec_2013_08_30_52" |  |  |
| "04_Dec_2013_10_16_13" |  |  |
| "04_Dec_2013_12_09_57" |  |  |
| "04_Jul_2013_02_04_21" |  |  |
| "04_Jul_2013_22_08_18" |  |  |
| "04_Nov_2013_07_41_38" |  |  |
| "04_Nov_2013_09_27_00" |  |  |
| "04_Nov_2013_11_27_03" |  |  |
| "04_Sep_2013_21_16_04" |  |  |
| "05_Feb_2014_05_55_09" |  |  |
| "05_Feb_2014_07_49_23" |  |  |
| "05_Feb_2014_17_42_13" |  |  |
| "05_Jul_2013_22_07_58" |  |  |
| "05_Nov_2013_15_15_27" |  |  |
| "05_Nov_2013_17_00_49" |  |  |
| "06_Dec_2013_11_31_25" |  |  |
| "06_Dec_2013_16_57_57" |  |  |
| "06_Dec_2013_20_43_25" |  |  |
| "06_Dec_2013_22_28_55" |  |  |
| "06_Jul_2013_14_14_22" |  |  |
| "06_Jul_2013_22_06_41" |  |  |
| "07_Aug_2013_03_46_16" |  |  |
| "07_Feb_2014_20_12_30" |  |  |
| "07_Jan_2014_00_22_16" |  |  |
| "07_Jan_2014_02_10_41" |  |  |
| "07_Jan_2014_04_19_30" |  |  |
| "07_Jan_2014_06_05_42" |  |  |
| "07_Jan_2014_08_06_09" |  |  |
| "07_Jan_2014_10_01_58" |  |  |
| "07_Jan_2014_11_48_04" |  |  |
| "07_Jan_2014_13_36_07" |  |  |
| "07_Jul_2013_22_05_58" |  |  |
| "07_Nov_2013_19_17_19" |  |  |
| "07_Oct_2013_19_29_48" |  |  |
| "08_Dec_2013_20_15_09" |  |  |
| "08_Feb_2014_00_07_02" |  |  |
| "08_Feb_2014_01_52_42" |  |  |
| "08_Feb_2014_04_00_06" |  |  |
| "08_Jan_2014_15_36_27" |  |  |
| "09_Jan_2014_15_59_20" |  |  |
| "09_Jan_2014_23_36_28" |  |  |
| "09_Oct_2013_16_40_10" |  |  |
| "09_Oct_2013_18_25_31" |  |  |
| "10_Jan_2014_01_38_43" |  |  |
| "10_Jul_2013_18_06_42" |  |  |
| "10_Jul_2013_22_02_13" |  |  |
| "10_Oct_2013_00_41_54" |  |  |
| "10_Oct_2013_02_27_17" |  |  |
| "10_Oct_2013_04_28_28" |  |  |
| "10_Oct_2013_06_13_48" |  |  |
| "10_Oct_2013_08_14_53" |  |  |
| "10_Sep_2013_22_41_22" |  |  |
| "11_Jan_2014_22_35_43" |  |  |
| "11_Jul_2013_02_09_06" |  |  |
| "11_Jul_2013_06_04_15" |  |  |
| "11_Jul_2013_10_13_12" |  |  |
| "11_Jul_2013_14_09_32" |  |  |
| "11_Jul_2013_18_06_11" |  |  |
| "11_Jul_2013_22_12_39" |  |  |
| "11_Sep_2013_00_34_06" |  |  |
| "11_Sep_2013_02_19_29" |  |  |
| "11_Sep_2013_19_09_43" |  |  |
| "11_Sep_2013_20_55_06" |  |  |
| "11_Sep_2013_22_41_34" |  |  |
| "12_Dec_2013_15_30_11" |  |  |
| "12_Dec_2013_17_23_03" |  |  |
| "12_Jan_2014_00_38_36" |  |  |
| "12_Nov_2013_06_42_27" |  |  |
| "12_Nov_2013_10_27_30" |  |  |
| "12_Nov_2013_12_12_53" |  |  |
| "12_Nov_2013_14_06_30" |  |  |
| "12_Oct_2013_06_20_33" |  |  |
| "12_Sep_2013_00_34_10" |  |  |
| "12_Sep_2013_02_19_33" |  |  |
| "12_Sep_2013_04_12_11" |  |  |
| "12_Sep_2013_20_54_43" |  |  |
| "12_Sep_2013_22_41_13" |  |  |
| "13_Dec_2013_16_19_33" |  |  |
| "13_Jul_2013_02_12_31" |  |  |
| "13_Nov_2013_00_56_16" |  |  |
| "13_Nov_2013_02_41_35" |  |  |
| "13_Sep_2013_00_26_34" |  |  |
| "13_Sep_2013_02_26_10" |  |  |
| "13_Sep_2013_04_18_45" |  |  |
| "13_Sep_2013_06_04_08" |  |  |
| "13_Sep_2013_22_48_10" |  |  |
| "14_Sep_2013_00_33_30" |  |  |
| "14_Sep_2013_02_33_07" |  |  |
| "14_Sep_2013_04_18_31" |  |  |
| "14_Sep_2013_06_19_36" |  |  |
| "15_Aug_2013_22_13_35" |  |  |
| "15_Jul_2013_02_12_00" |  |  |
| "15_Jul_2013_06_07_14" |  |  |
| "15_Jul_2013_22_30_00" |  |  |
| "15_Sep_2013_02_55_30" |  |  |
| "15_Sep_2013_04_41_00" |  |  |
| "17_Dec_2013_22_44_35" |  |  |
| "17_Oct_2013_16_53_35" |  |  |
| "18_Aug_2013_21_18_28" |  |  |
| "18_Aug_2013_23_04_58" |  |  |
| "18_Dec_2013_00_30_14" |  |  |
| "18_Dec_2013_02_31_29" |  |  |
| "18_Dec_2013_13_44_34" |  |  |
| "18_Dec_2013_15_30_13" |  |  |
| "18_Dec_2013_17_23_20" |  |  |
| "18_Dec_2013_19_09_06" |  |  |
| "18_Dec_2013_21_09_15" |  |  |
| "18_Dec_2013_23_10_46" |  |  |
| "18_Nov_2013_21_46_55" |  |  |
| "18_Nov_2013_23_39_31" |  |  |
| "19_Aug_2013_23_31_50" |  |  |
| "19_Dec_2013_00_56_27" |  |  |
| "19_Dec_2013_02_57_42" |  |  |
| "19_Dec_2013_06_50_44" |  |  |
| "19_Dec_2013_17_49_48" |  |  |
| "19_Dec_2013_19_35_34" |  |  |
| "19_Jan_2014_16_18_52" |  |  |
| "19_Jul_2013_23_53_34" |  |  |
| "19_Nov_2013_03_25_32" |  |  |
| "19_Nov_2013_05_33_36" |  |  |
| "19_Nov_2013_13_05_21" |  |  |
| "20_Aug_2013_01_17_10" |  |  |
| "20_Aug_2013_03_10_01" |  |  |
| "20_Aug_2013_04_55_22" |  |  |
| "20_Aug_2013_23_39_29" |  |  |
| "20_Jul_2013_02_02_45" |  |  |
| "20_Jul_2013_22_06_22" |  |  |
| "20_Jul_2013_23_51_44" |  |  |
| "20_Nov_2013_03_41_02" |  |  |
| "20_Nov_2013_05_26_23" |  |  |
| "20_Nov_2013_07_33_19" |  |  |
| "20_Nov_2013_09_41_01" |  |  |
| "20_Nov_2013_11_26_24" |  |  |
| "20_Nov_2013_15_05_22" |  |  |
| "21_Aug_2013_01_32_14" |  |  |
| "21_Aug_2013_10_16_20" |  |  |
| "21_Aug_2013_12_01_43" |  |  |
| "21_Aug_2013_15_53_59" |  |  |
| "21_Aug_2013_17_53_49" |  |  |
| "21_Jul_2013_02_12_54" |  |  |
| "21_Jul_2013_07_54_09" |  |  |
| "21_Jul_2013_10_05_15" |  |  |
| "21_Jul_2013_19_55_22" |  |  |
| "21_Jul_2013_22_05_18" |  |  |
| "21_Jul_2013_23_50_42" |  |  |
| "21_Nov_2013_03_55_48" |  |  |
| "21_Nov_2013_05_41_12" |  |  |
| "21_Nov_2013_07_48_14" |  |  |
| "21_Nov_2013_09_33_37" |  |  |
| "21_Nov_2013_11_33_34" |  |  |
| "21_Nov_2013_13_27_14" |  |  |
| "21_Nov_2013_15_12_35" |  |  |
| "21_Nov_2013_16_59_07" |  |  |
| "21_Nov_2013_18_44_27" |  |  |
| "21_Nov_2013_20_37_07" |  |  |
| "22_Jul_2013_02_11_29" |  |  |
| "22_Jul_2013_07_53_06" |  |  |
| "22_Jul_2013_14_12_18" |  |  |
| "22_Jul_2013_19_54_00" |  |  |
| "22_Jul_2013_22_03_55" |  |  |
| "22_Jul_2013_23_49_17" |  |  |
| "22_Nov_2013_07_56_31" |  |  |
| "22_Nov_2013_09_41_55" |  |  |
| "22_Nov_2013_11_41_55" |  |  |
| "22_Nov_2013_13_27_26" |  |  |
| "22_Nov_2013_15_14_01" |  |  |
| "22_Nov_2013_17_00_37" |  |  |
| "22_Nov_2013_18_45_57" |  |  |
| "22_Nov_2013_20_38_31" |  |  |
| "22_Nov_2013_23_57_14" |  |  |
| "23_Jan_2014_15_39_38" |  |  |
| "23_Jan_2014_17_26_51" |  |  |
| "23_Jan_2014_19_21_45" |  |  |
| "23_Jan_2014_21_08_20" |  |  |
| "23_Jan_2014_23_09_51" |  |  |
| "23_Jul_2013_02_10_10" |  |  |
| "23_Jul_2013_07_51_25" |  |  |
| "23_Jul_2013_10_03_10" |  |  |
| "23_Jul_2013_11_48_29" |  |  |
| "23_Jul_2013_14_11_04" |  |  |
| "23_Jul_2013_19_52_43" |  |  |
| "23_Jul_2013_22_02_30" |  |  |
| "23_Jul_2013_23_47_52" |  |  |
| "23_Nov_2013_11_23_30" |  |  |
| "23_Nov_2013_13_08_50" |  |  |
| "23_Nov_2013_14_55_24" |  |  |
| "23_Nov_2013_16_40_47" |  |  |
| "23_Nov_2013_18_33_44" |  |  |
| "23_Nov_2013_20_26_07" |  |  |
| "23_Nov_2013_22_11_30" |  |  |
| "24_Jan_2014_01_19_05" |  |  |
| "24_Jan_2014_03_05_09" |  |  |
| "24_Jan_2014_05_14_00" |  |  |
| "24_Jan_2014_07_00_17" |  |  |
| "24_Jan_2014_08_54_51" |  |  |
| "24_Jul_2013_02_08_36" |  |  |
| "24_Jul_2013_23_55_46" |  |  |
| "24_Nov_2013_00_04_14" |  |  |
| "24_Nov_2013_01_49_38" |  |  |
| "24_Nov_2013_03_50_29" |  |  |
| "24_Nov_2013_15_02_03" |  |  |
| "24_Nov_2013_16_47_26" |  |  |
| "25_Jan_2014_12_55_26" |  |  |
| "25_Jul_2013_07_57_24" |  |  |
| "25_Jul_2013_10_08_42" |  |  |
| "25_Jul_2013_14_04_25" |  |  |
| "25_Jul_2013_19_58_03" |  |  |
| "25_Jul_2013_22_08_17" |  |  |
| "26_Jul_2013_11_52_11" |  |  |
| "26_Jul_2013_14_02_33" |  |  |
| "26_Jul_2013_19_56_15" |  |  |
| "26_Jul_2013_22_06_23" |  |  |
| "26_Jul_2013_23_51_54" |  |  |
| "27_Aug_2013_18_06_13" |  |  |
| "27_Jul_2013_02_12_28" |  |  |
| "27_Jul_2013_07_53_55" |  |  |
| "27_Jul_2013_10_05_02" |  |  |
| "27_Jul_2013_11_50_20" |  |  |
| "27_Jul_2013_14_12_50" |  |  |
| "27_Jul_2013_22_03_13" |  |  |
| "27_Jul_2013_23_48_30" |  |  |
| "27_Nov_2013_14_20_56" |  |  |
| "27_Sep_2013_14_39_15" |  |  |
| "28_Jan_2014_09_02_32" |  |  |
| "28_Jan_2014_10_49_31" |  |  |
| "28_Jan_2014_12_37_18" |  |  |
| "28_Jan_2014_14_23_28" |  |  |
| "28_Jan_2014_16_17_26" |  |  |
| "28_Jan_2014_18_19_14" |  |  |
| "28_Jan_2014_20_06_47" |  |  |
| "28_Jul_2013_02_09_02" |  |  |
| "28_Jul_2013_20_10_36" |  |  |
| "28_Jul_2013_22_08_36" |  |  |
| "28_Jul_2013_23_53_56" |  |  |
| "28_Nov_2013_03_11_31" |  |  |
| "28_Nov_2013_07_03_46" |  |  |
| "28_Nov_2013_10_49_01" |  |  |
| "29_Jul_2013_02_02_43" |  |  |
| "29_Oct_2013_20_56_16" |  |  |
| "29_Oct_2013_22_41_40" |  |  |
| "30_Aug_2013_22_06_44" |  |  |
| "30_Aug_2013_23_52_02" |  |  |
| "30_Jan_2014_00_38_01" |  |  |
| "30_Jan_2014_02_46_42" |  |  |
| "30_Jan_2014_04_33_04" |  |  |
| "30_Jan_2014_06_33_58" |  |  |
| "30_Jan_2014_17_32_01" |  |  |
| "30_Jan_2014_21_30_44" |  |  |
| "30_Jan_2014_23_16_30" |  |  |
| "30_Jul_2013_22_09_53" |  |  |
| "30_Jul_2013_23_55_11" |  |  |
| "30_Oct_2013_00_41_37" |  |  |
| "30_Oct_2013_02_26_59" |  |  |
| "30_Oct_2013_04_28_03" |  |  |
| "31_Aug_2013_16_48_05" |  |  |
| "31_Aug_2013_18_33_22" |  |  |
| "31_Aug_2013_20_19_54" |  |  |
| "31_Aug_2013_22_05_20" |  |  |
| "31_Jan_2014_03_05_37" |  |  |
| "31_Jan_2014_05_06_09" |  |  |
| "31_Jan_2014_17_48_52" |  |  |
| "31_Jan_2014_21_28_49" |  |  |