Date
Full Schedule
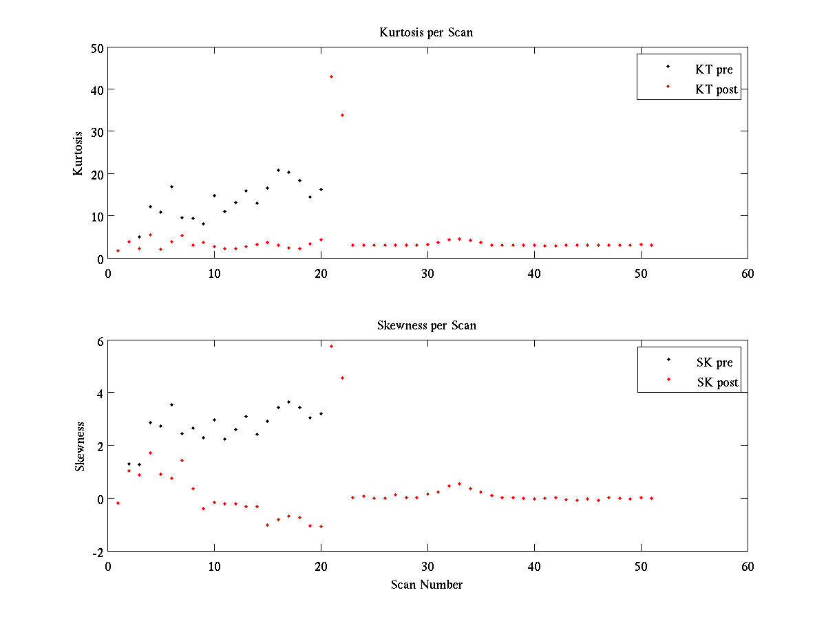
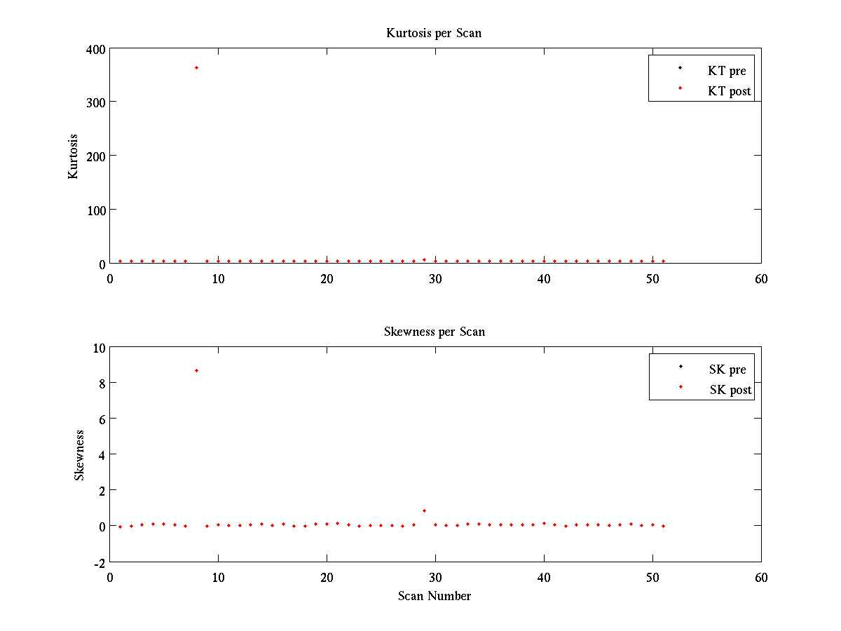
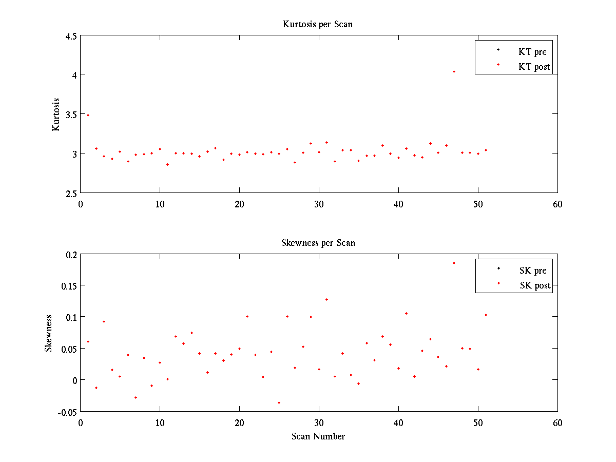
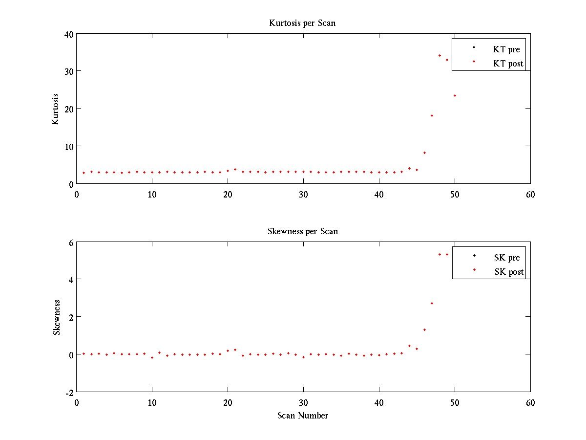
Skewness and Kurtosis
"21_Sep_2014_09_11_26"
"21_Sep_2014_10_57_07"
"21_Sep_2014_13_04_42"
"21_Sep_2014_14_50_23"
"21_Sep_2014_16_44_17"
"22_Sep_2014_03_34_43"
"22_Sep_2014_05_20_27"
"22_Sep_2014_07_21_23"
"22_Sep_2014_09_07_09"