Overview

[1] [2] [3]

Back        Forward

Overview

[1] [2] [3]

Back        Forward

Overview

[1] [2] [3]

Back        Forward

Raw fits file and map fits file

12-Sep-2013:22:41:13_reload.fits

12-Sep-2013:22:41:13_reload_map.fits


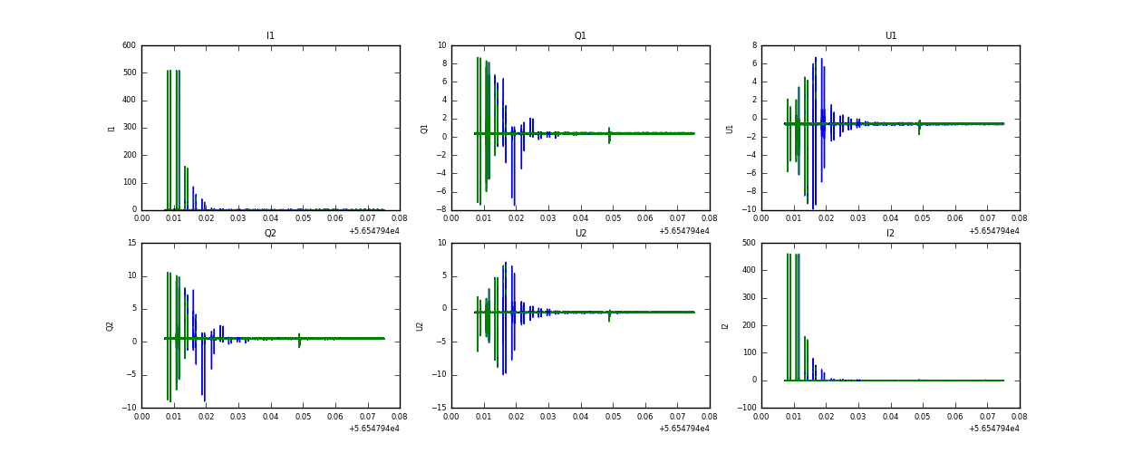
Raw channel data