Overview

[1] [2] [3]

Back        Forward

Overview

[1] [2] [3]

Back        Forward

Overview

[1] [2] [3]

Back        Forward

Raw fits file and map fits file

20-Sep-2013:21:10:03_reload.fits

20-Sep-2013:21:10:03_reload_map.fits


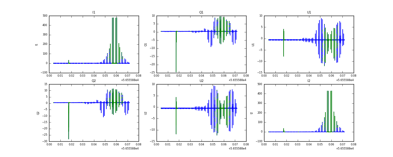
Raw channel data