Overview

[1] [2] [3]

Back        Forward

Overview

[1] [2] [3]

Back        Forward

Overview

[1] [2] [3]

Back        Forward

Raw fits file and map fits file

28-Sep-2013:03:21:35_reload.fits

28-Sep-2013:03:21:35_reload_map.fits


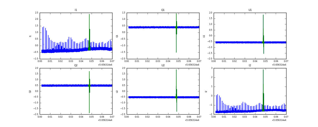
Raw channel data