Overview

[1] [2] [3]

Back        Forward

Overview

[1] [2] [3]

Back        Forward

Overview

[1] [2] [3]

Back        Forward

Raw fits file and map fits file

14-Oct-2013:18:30:25_reload.fits

14-Oct-2013:18:30:25_reload_map.fits


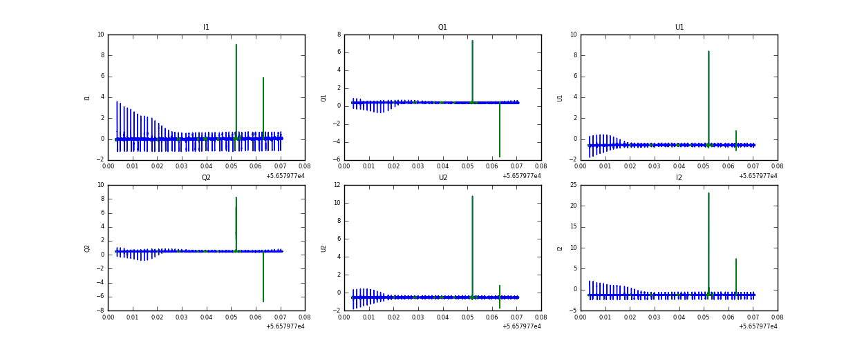
Raw channel data