Overview

[1] [2] [3]

Back        Forward

Overview

[1] [2] [3]

Back        Forward

Overview

[1] [2] [3]

Back        Forward

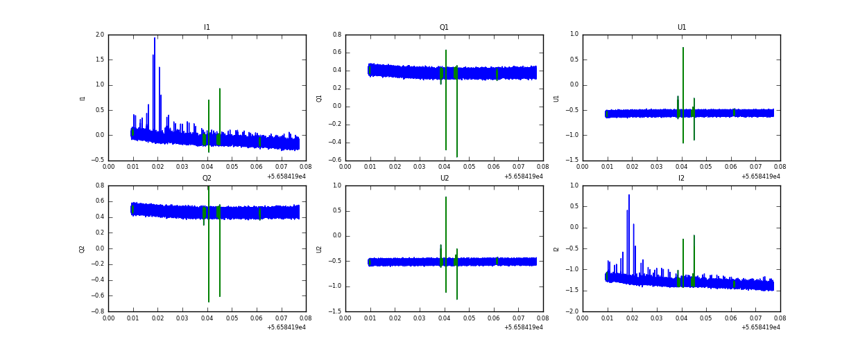
Raw fits file and map fits file

19-Oct-2013:04:44:20_reload.fits

19-Oct-2013:04:44:20_reload_map.fits


Raw channel data