Overview

[1] [2] [3]

Back        Forward

Overview

[1] [2] [3]

Back        Forward

Overview

[1] [2] [3]

Back        Forward

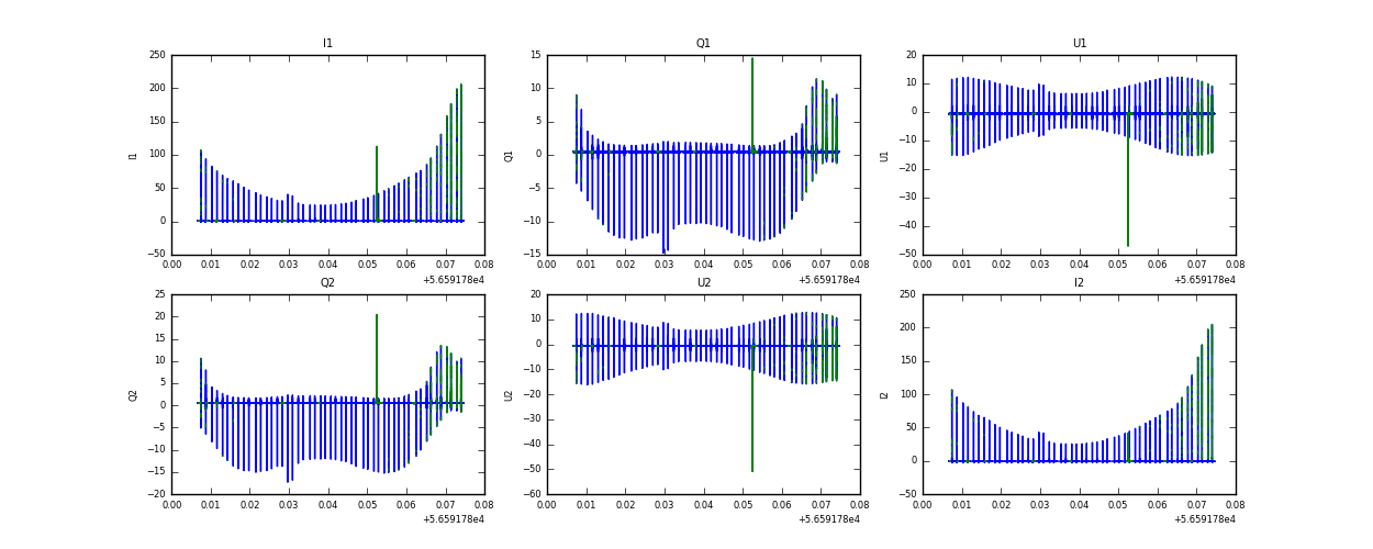
Raw fits file and map fits file

26-Oct-2013:18:50:10_reload.fits

26-Oct-2013:18:50:10_reload_map.fits


Raw channel data