Overview

[1] [2] [3]

Back        Forward

Overview

[1] [2] [3]

Back        Forward

Overview

[1] [2] [3]

Back        Forward

Raw fits file and map fits file

16-Nov-2013:10:12:48_reload.fits

16-Nov-2013:10:12:48_reload_map.fits


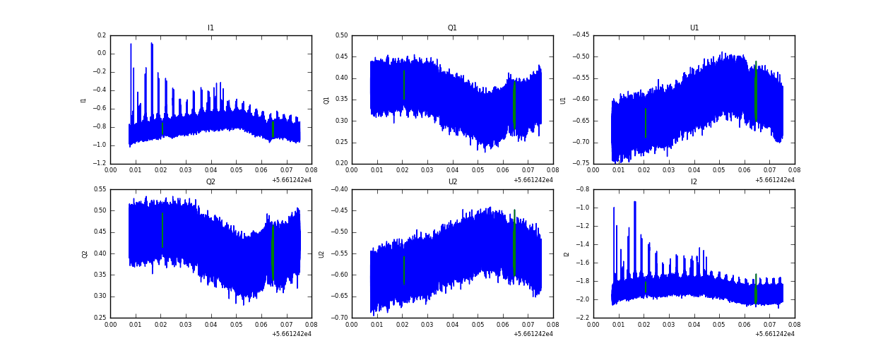
Raw channel data