Overview

[1] [2] [3]

Back        Forward

Overview

[1] [2] [3]

Back        Forward

Overview

[1] [2] [3]

Back        Forward

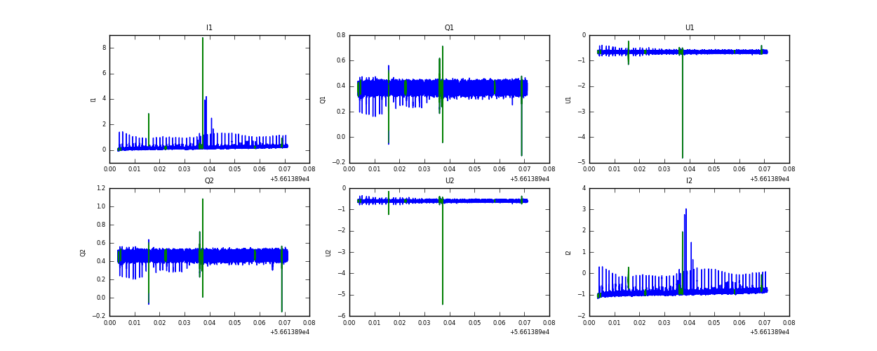
Raw fits file and map fits file

17-Nov-2013:21:23:33_reload.fits

17-Nov-2013:21:23:33_reload_map.fits


Raw channel data