Overview

[1] [2] [3]

Back        Forward

Overview

[1] [2] [3]

Back        Forward

Overview

[1] [2] [3]

Back        Forward

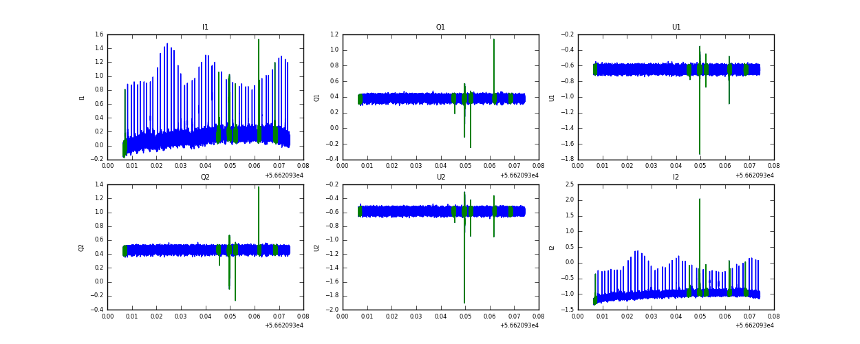
Raw fits file and map fits file

24-Nov-2013:22:25:38_reload.fits

24-Nov-2013:22:25:38_reload_map.fits


Raw channel data