Overview

[1] [2] [3]

Back        Forward

Overview

[1] [2] [3]

Back        Forward

Overview

[1] [2] [3]

Back        Forward

Raw fits file and map fits file

25-Nov-2013:19:03:12_reload.fits

25-Nov-2013:19:03:12_reload_map.fits


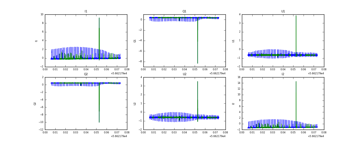
Raw channel data