Overview

[1] [2] [3]

Back        Forward

Overview

[1] [2] [3]

Back        Forward

Overview

[1] [2] [3]

Back        Forward

Raw fits file and map fits file

12-Sep-2013:17:22:50_reload.fits

12-Sep-2013:17:22:50_reload_map.fits


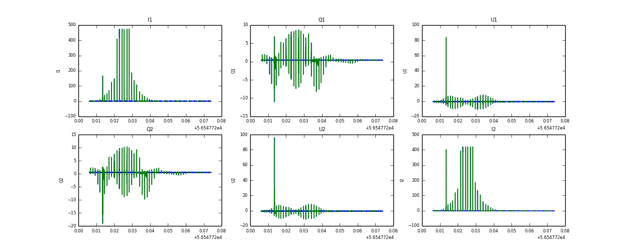
Raw channel data