Overview

[1] [2] [3]

Back        Forward

Overview

[1] [2] [3]

Back        Forward

Overview

[1] [2] [3]

Back        Forward

Raw fits file and map fits file

13-Sep-2013:15:43:15_reload.fits

13-Sep-2013:15:43:15_reload_map.fits


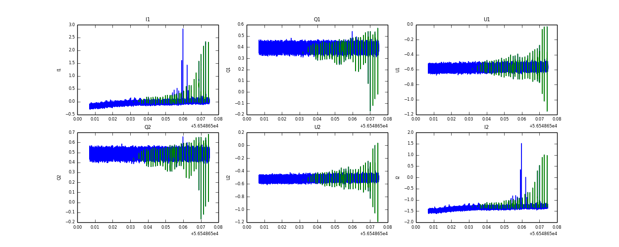
Raw channel data