Overview

[1] [2] [3]

Back        Forward

Overview

[1] [2] [3]

Back        Forward

Overview

[1] [2] [3]

Back        Forward

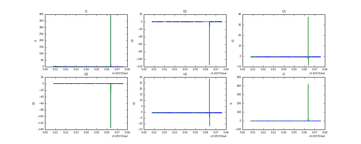
Raw fits file and map fits file

22-Sep-2013:00:51:57_reload.fits

22-Sep-2013:00:51:57_reload_map.fits


Raw channel data