Overview

[1] [2] [3]

Back        Forward

Overview

[1] [2] [3]

Back        Forward

Overview

[1] [2] [3]

Back        Forward

Raw fits file and map fits file

26-Sep-2013:23:36:23_reload.fits

26-Sep-2013:23:36:23_reload_map.fits


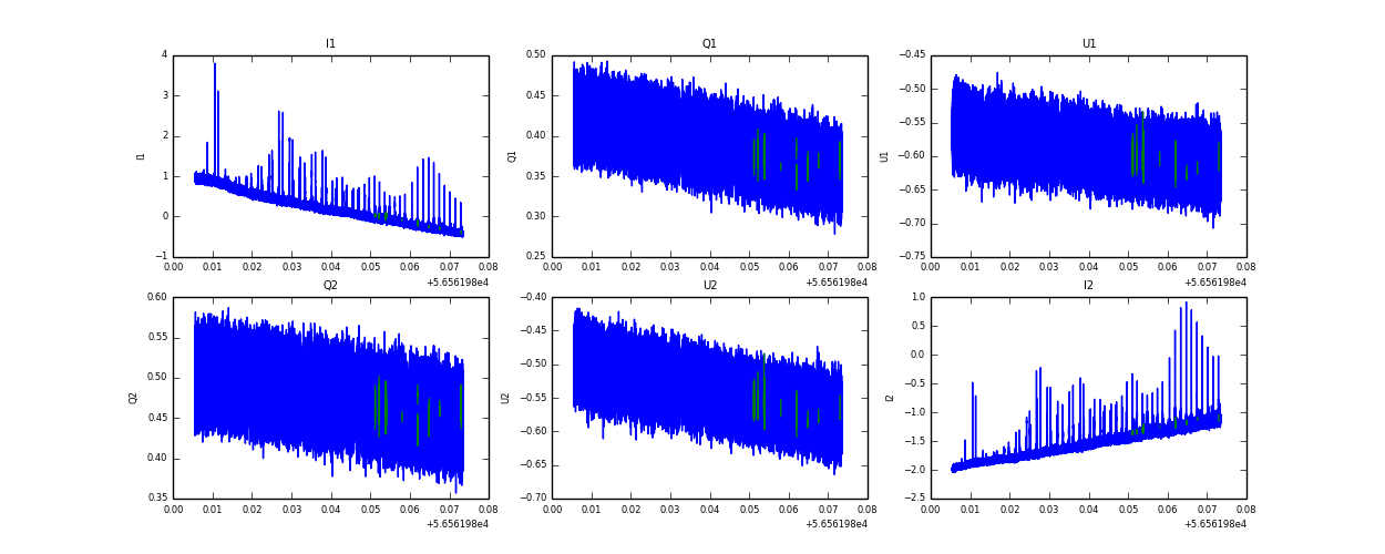
Raw channel data