Overview

[1] [2] [3]

Back        Forward

Overview

[1] [2] [3]

Back        Forward

Overview

[1] [2] [3]

Back        Forward

Raw fits file and map fits file

27-Sep-2013:18:18:26_reload.fits

27-Sep-2013:18:18:26_reload_map.fits


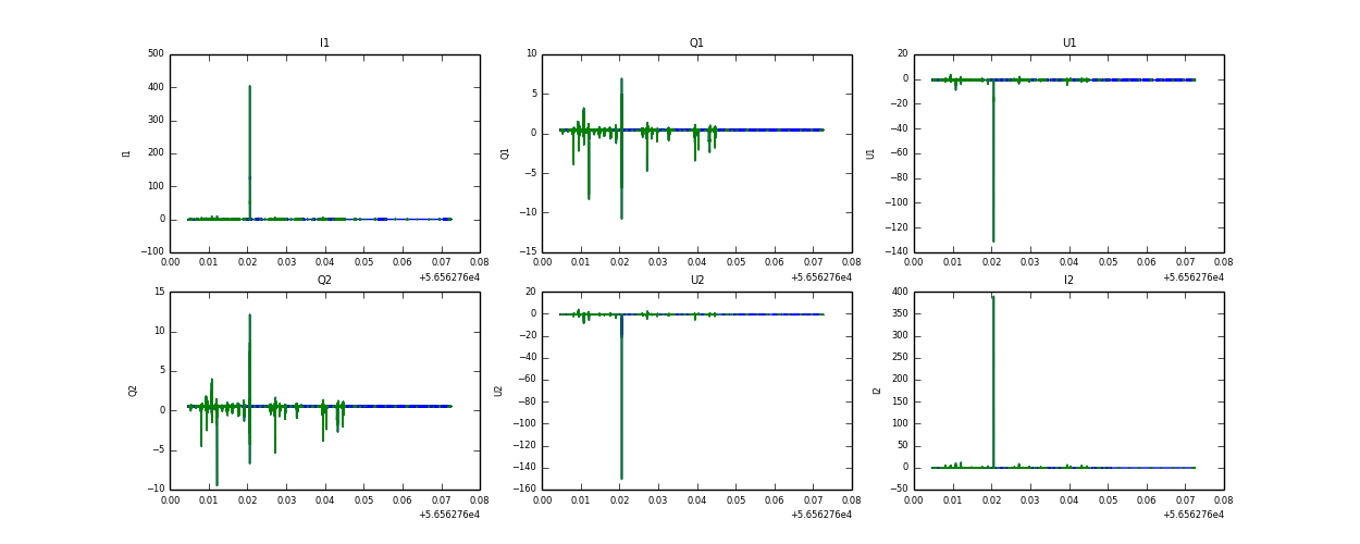
Raw channel data