Overview

[1] [2] [3]

Back        Forward

Overview

[1] [2] [3]

Back        Forward

Overview

[1] [2] [3]

Back        Forward

Raw fits file and map fits file

08-Sep-2013:03:30:22.fits

08-Sep-2013:03:30:22_map.fits


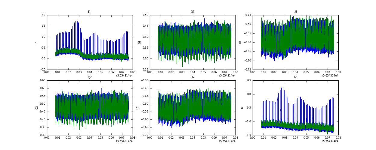
Raw channel data