Overview

[1] [2] [3]

Back        Forward

Overview

[1] [2] [3]

Back        Forward

Overview

[1] [2] [3]

Back        Forward

Raw fits file and map fits file

09-Sep-2013:07:39:04.fits

09-Sep-2013:07:39:04_map.fits


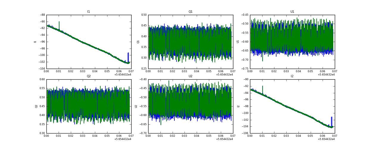
Raw channel data