Overview

[1] [2] [3]

Back        Forward

Overview

[1] [2] [3]

Back        Forward

Overview

[1] [2] [3]

Back        Forward

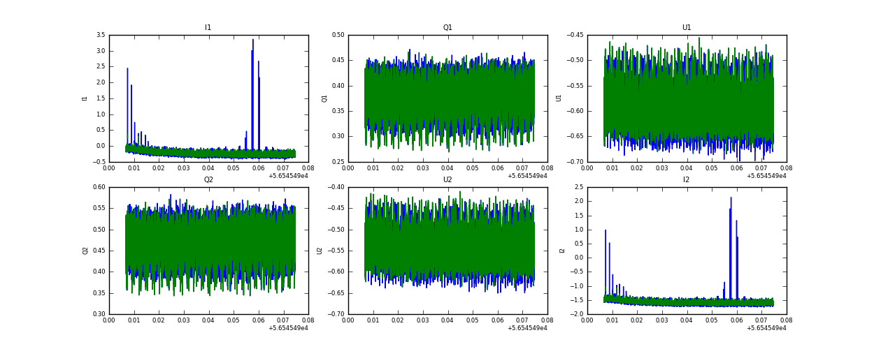
Raw fits file and map fits file

10-Sep-2013:11:52:33.fits

10-Sep-2013:11:52:33_map.fits


Raw channel data