Overview

[1] [2] [3]

Back        Forward

Overview

[1] [2] [3]

Back        Forward

Overview

[1] [2] [3]

Back        Forward

Raw fits file and map fits file

11-Sep-2013:17:23:12.fits

11-Sep-2013:17:23:12_map.fits


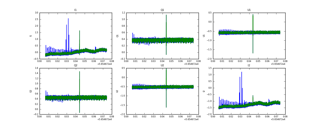
Raw channel data