Overview

[1] [2] [3]

Back        Forward

Overview

[1] [2] [3]

Back        Forward

Overview

[1] [2] [3]

Back        Forward

Raw fits file and map fits file

12-Sep-2013:02:19:33.fits

12-Sep-2013:02:19:33_map.fits


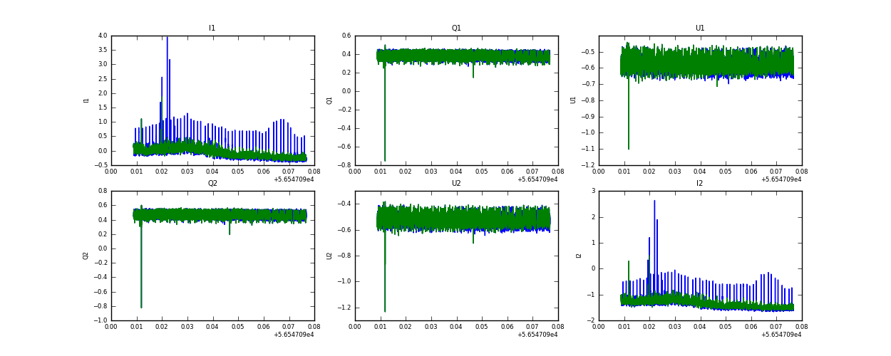
Raw channel data