Overview

[1] [2] [3]

Back        Forward

Overview

[1] [2] [3]

Back        Forward

Overview

[1] [2] [3]

Back        Forward

Raw fits file and map fits file

13-Sep-2013:19:15:55.fits

13-Sep-2013:19:15:55_map.fits


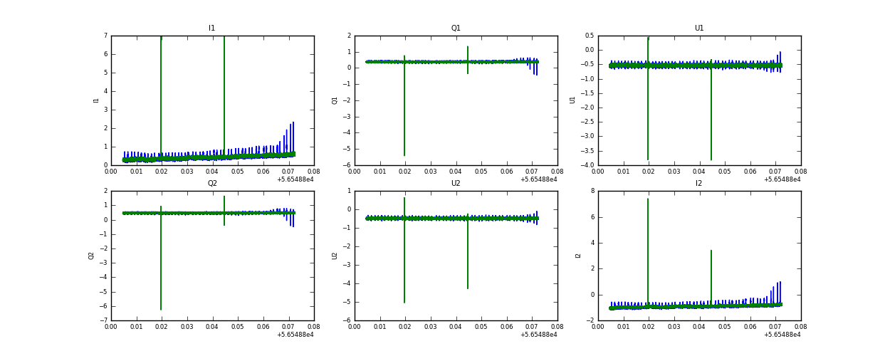
Raw channel data