Overview

[1] [2] [3]

Back        Forward

Overview

[1] [2] [3]

Back        Forward

Overview

[1] [2] [3]

Back        Forward

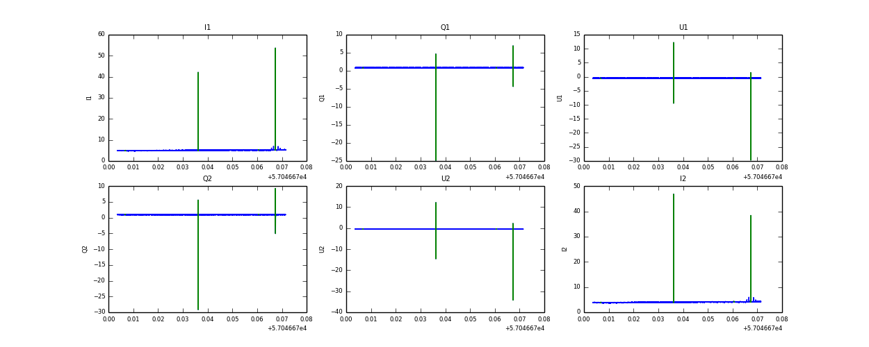
Raw fits file and map fits file

24-Jan-2015:16:06:27_reload.fits

24-Jan-2015:16:06:27_reload_map.fits


Raw channel data