Overview

[1] [2] [3]

Back        Forward

Overview

[1] [2] [3]

Back        Forward

Overview

[1] [2] [3]

Back        Forward

Raw fits file and map fits file

26-Jan-2015:21:12:45_reload.fits

26-Jan-2015:21:12:45_reload_map.fits


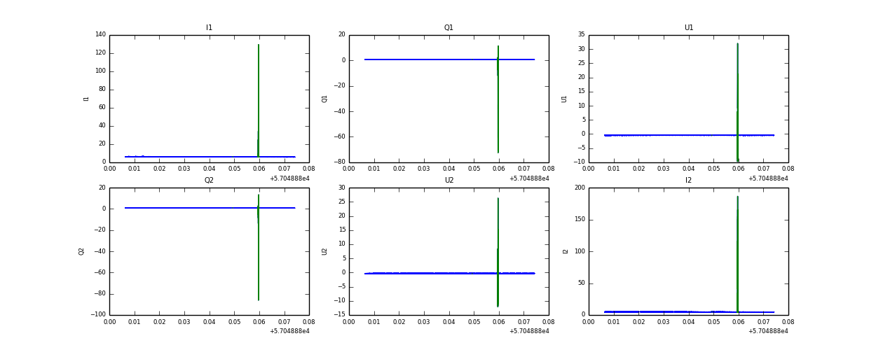
Raw channel data