Overview

[1] [2] [3]

Back        Forward

Overview

[1] [2] [3]

Back        Forward

Overview

[1] [2] [3]

Back        Forward

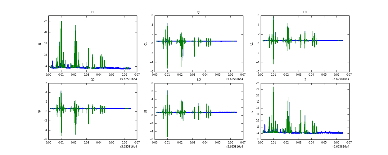
Raw fits file and map fits file

27-Nov-2012:03:48:03_reload.fits

27-Nov-2012:03:48:03_reload_map.fits


Raw channel data