Overview

[1] [2] [3]

Back        Forward

Overview

[1] [2] [3]

Back        Forward

Overview

[1] [2] [3]

Back        Forward

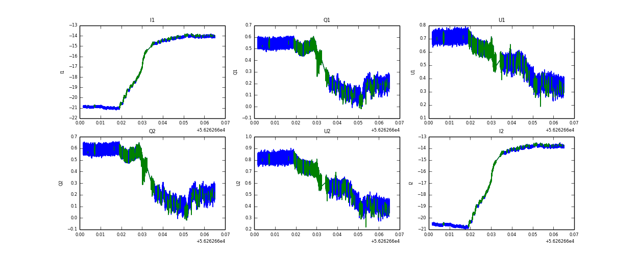
Raw fits file and map fits file

01-Dec-2012:15:48:08_reload.fits

01-Dec-2012:15:48:08_reload_map.fits


Raw channel data