Overview

[1] [2] [3]

Back        Forward

Overview

[1] [2] [3]

Back        Forward

Overview

[1] [2] [3]

Back        Forward

Raw fits file and map fits file

03-Dec-2012:14:07:14_reload.fits

03-Dec-2012:14:07:14_reload_map.fits


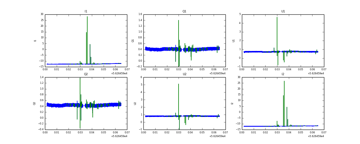
Raw channel data