Overview

[1] [2] [3]

Back        Forward

Overview

[1] [2] [3]

Back        Forward

Overview

[1] [2] [3]

Back        Forward

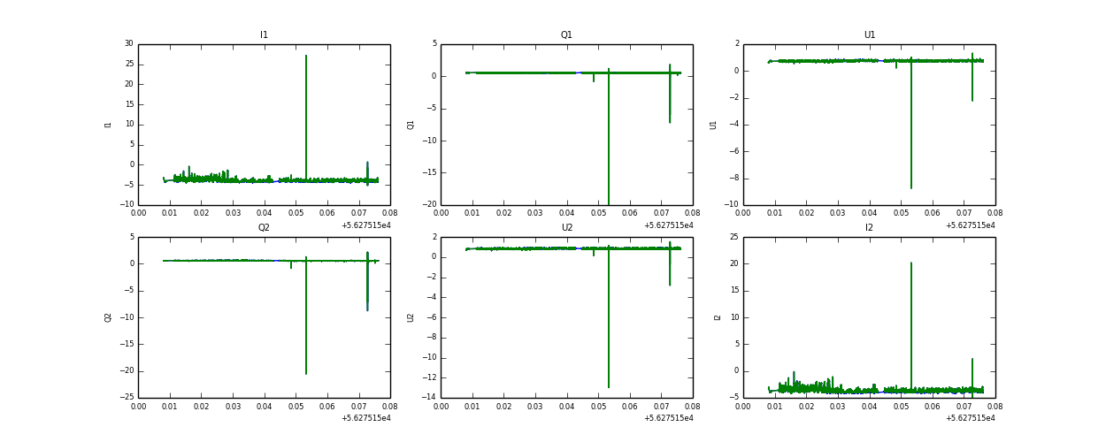
Raw fits file and map fits file

14-Dec-2012:03:47:34_reload.fits

14-Dec-2012:03:47:34_reload_map.fits


Raw channel data