Overview

[1] [2] [3]

Back        Forward

Overview

[1] [2] [3]

Back        Forward

Overview

[1] [2] [3]

Back        Forward

Raw fits file and map fits file

16-Dec-2012:22:05:51_reload.fits

16-Dec-2012:22:05:51_reload_map.fits


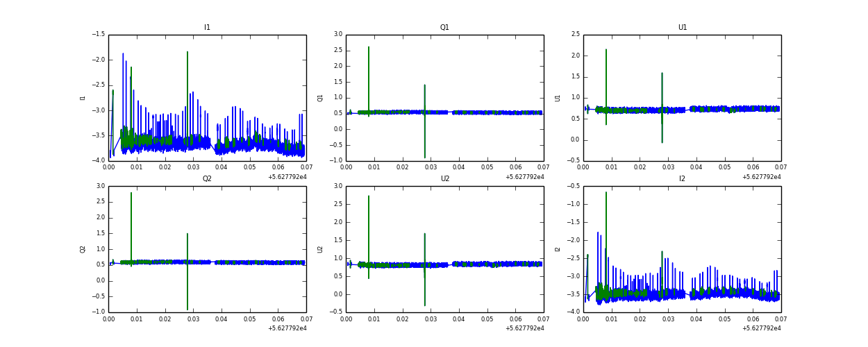
Raw channel data