Overview

[1] [2] [3]

Back        Forward

Overview

[1] [2] [3]

Back        Forward

Overview

[1] [2] [3]

Back        Forward

Raw fits file and map fits file

19-Dec-2012:10:07:50_reload.fits

19-Dec-2012:10:07:50_reload_map.fits


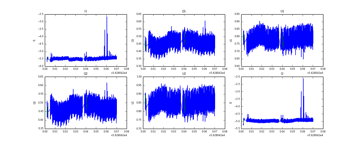
Raw channel data