Overview

[1] [2] [3]

Back        Forward

Overview

[1] [2] [3]

Back        Forward

Overview

[1] [2] [3]

Back        Forward

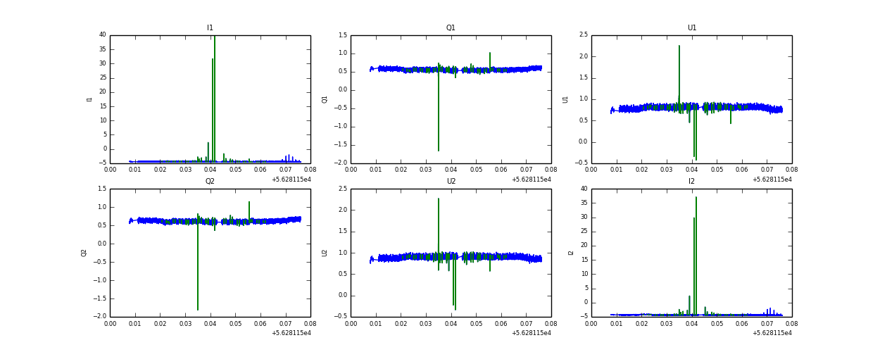
Raw fits file and map fits file

20-Dec-2012:03:47:22_reload.fits

20-Dec-2012:03:47:22_reload_map.fits


Raw channel data