Overview

[1] [2] [3]

Back        Forward

Overview

[1] [2] [3]

Back        Forward

Overview

[1] [2] [3]

Back        Forward

Raw fits file and map fits file

20-Feb-2013:06:08:54_reload.fits

20-Feb-2013:06:08:54_reload_map.fits


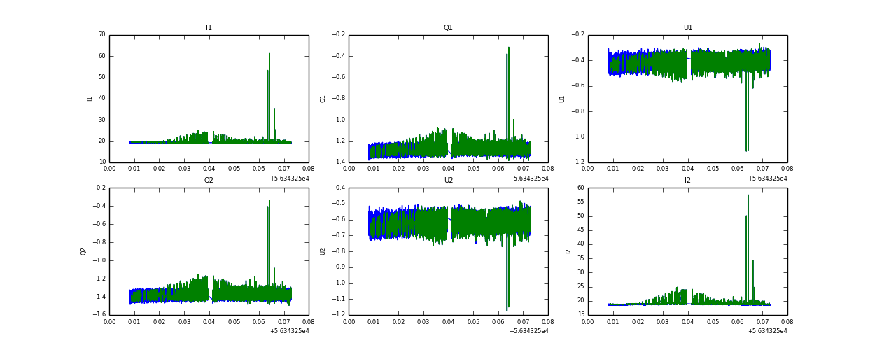
Raw channel data