Overview

[1] [2] [3]

Back        Forward

Overview

[1] [2] [3]

Back        Forward

Overview

[1] [2] [3]

Back        Forward

Raw fits file and map fits file

01-Mar-2013:19:49:36_reload.fits

01-Mar-2013:19:49:36_reload_map.fits


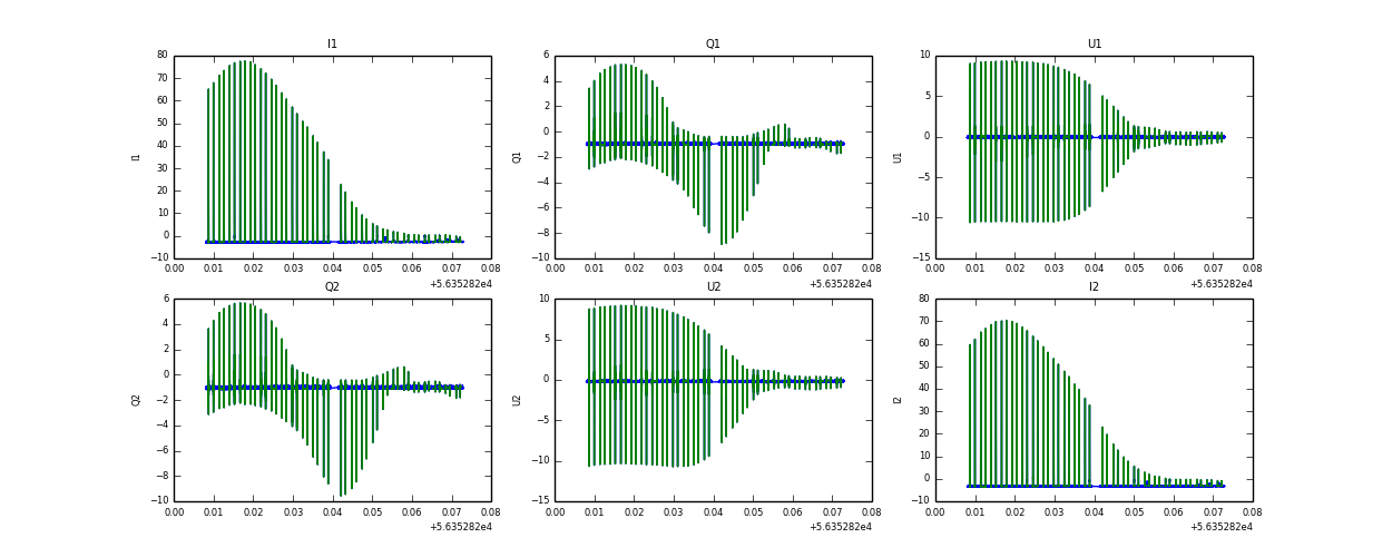
Raw channel data