Overview

[1] [2] [3]

Back        Forward

Overview

[1] [2] [3]

Back        Forward

Overview

[1] [2] [3]

Back        Forward

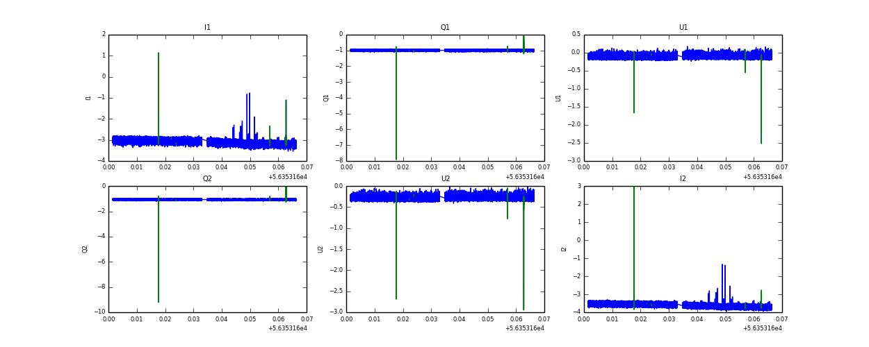
Raw fits file and map fits file

02-Mar-2013:03:49:48_reload.fits

02-Mar-2013:03:49:48_reload_map.fits


Raw channel data