Overview

[1] [2] [3]

Back        Forward

Overview

[1] [2] [3]

Back        Forward

Overview

[1] [2] [3]

Back        Forward

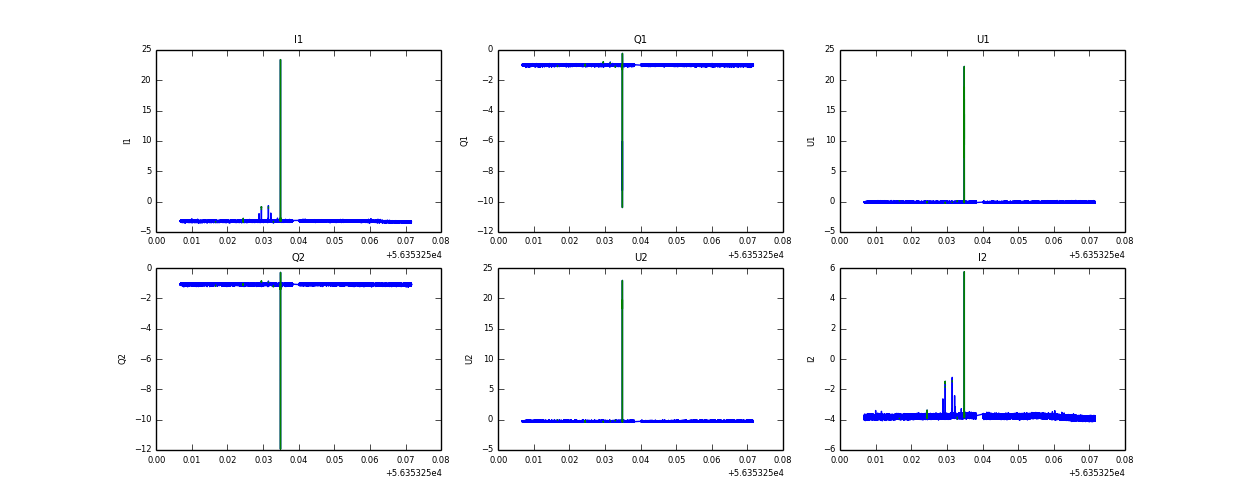
Raw fits file and map fits file

02-Mar-2013:06:07:03_reload.fits

02-Mar-2013:06:07:03_reload_map.fits


Raw channel data