Overview

[1] [2] [3]

Back        Forward

Overview

[1] [2] [3]

Back        Forward

Overview

[1] [2] [3]

Back        Forward

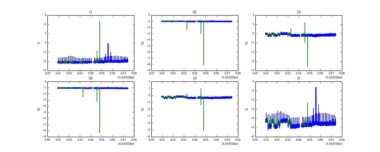
Raw fits file and map fits file

04-Mar-2013:14:05:56_reload.fits

04-Mar-2013:14:05:56_reload_map.fits


Raw channel data