Overview

[1] [2] [3]

Back        Forward

Overview

[1] [2] [3]

Back        Forward

Overview

[1] [2] [3]

Back        Forward

Raw fits file and map fits file

06-Mar-2013:03:52:09_reload.fits

06-Mar-2013:03:52:09_reload_map.fits


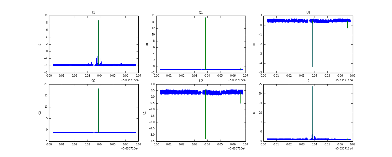
Raw channel data