Overview

[1] [2] [3]

Back        Forward

Overview

[1] [2] [3]

Back        Forward

Overview

[1] [2] [3]

Back        Forward

Raw fits file and map fits file

06-Mar-2013:11:48:27_reload.fits

06-Mar-2013:11:48:27_reload_map.fits


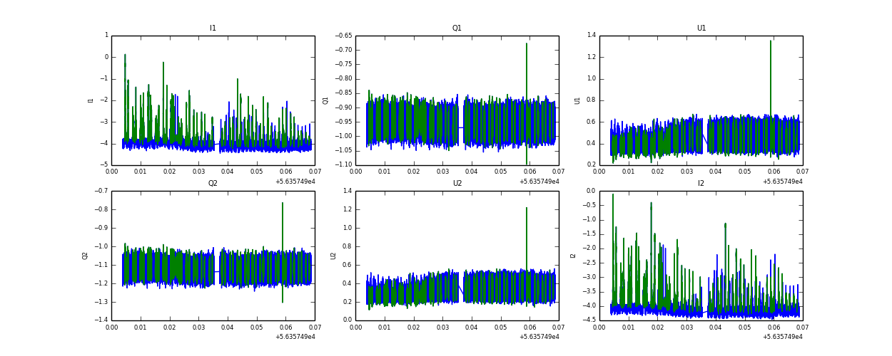
Raw channel data