Overview

[1] [2] [3]

Back        Forward

Overview

[1] [2] [3]

Back        Forward

Overview

[1] [2] [3]

Back        Forward

Raw fits file and map fits file

22-Mar-2013:03:52:41_reload.fits

22-Mar-2013:03:52:41_reload_map.fits


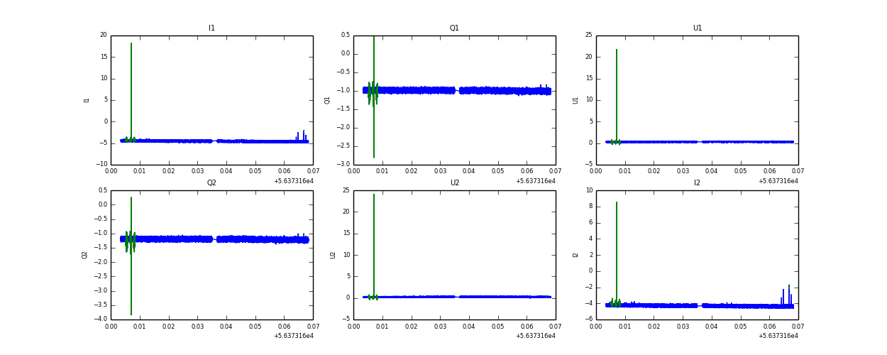
Raw channel data