Overview

[1] [2] [3]

Back        Forward

Overview

[1] [2] [3]

Back        Forward

Overview

[1] [2] [3]

Back        Forward

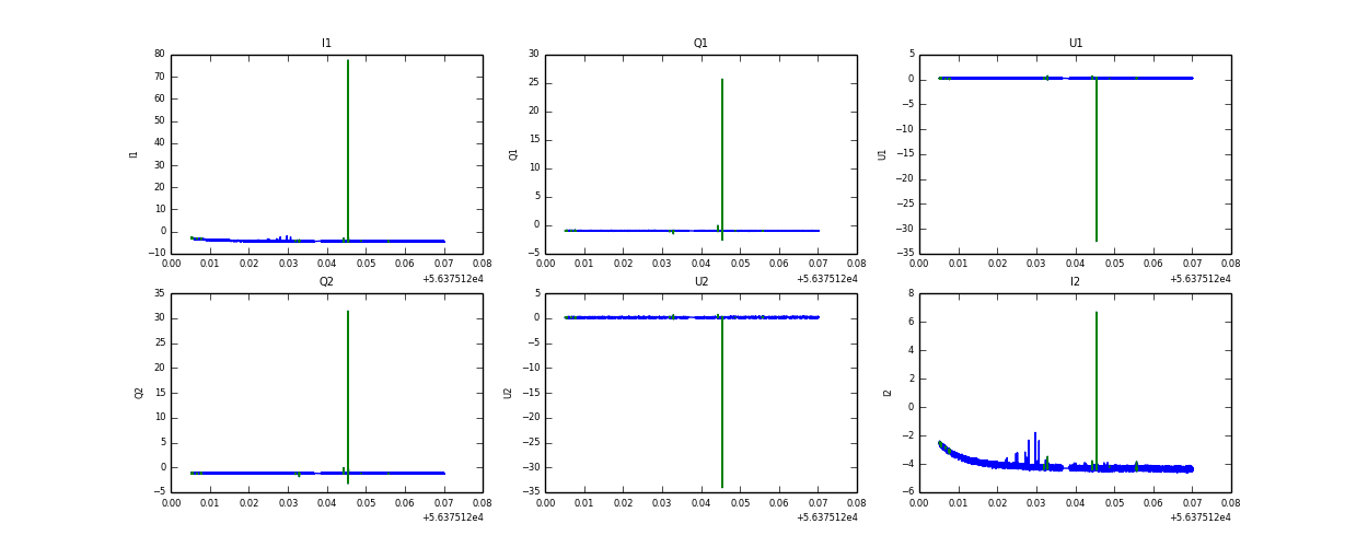
Raw fits file and map fits file

24-Mar-2013:02:57:32_reload.fits

24-Mar-2013:02:57:32_reload_map.fits


Raw channel data