Overview

[1] [2] [3]

Back        Forward

Overview

[1] [2] [3]

Back        Forward

Overview

[1] [2] [3]

Back        Forward

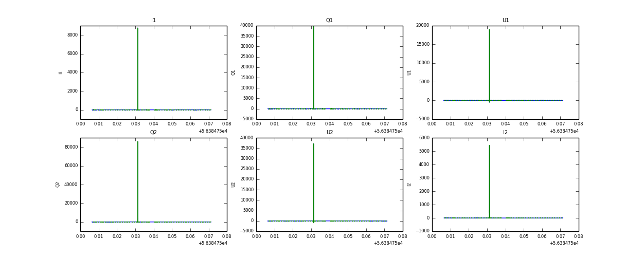
Raw fits file and map fits file

02-Apr-2013:18:06:37_reload.fits

02-Apr-2013:18:06:37_reload_map.fits


Raw channel data