Overview

[1] [2] [3]

Back        Forward

Overview

[1] [2] [3]

Back        Forward

Overview

[1] [2] [3]

Back        Forward

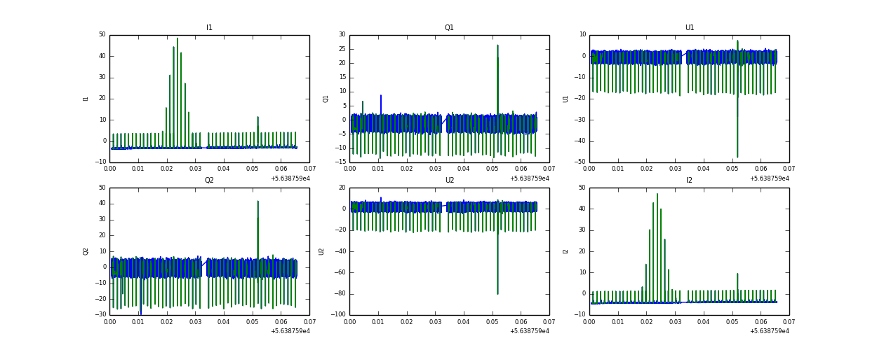
Raw fits file and map fits file

05-Apr-2013:14:07:52_reload.fits

05-Apr-2013:14:07:52_reload_map.fits


Raw channel data