Overview

[1] [2] [3]

Back        Forward

Overview

[1] [2] [3]

Back        Forward

Overview

[1] [2] [3]

Back        Forward

Raw fits file and map fits file

10-Apr-2013:06:07:44_reload.fits

10-Apr-2013:06:07:44_reload_map.fits


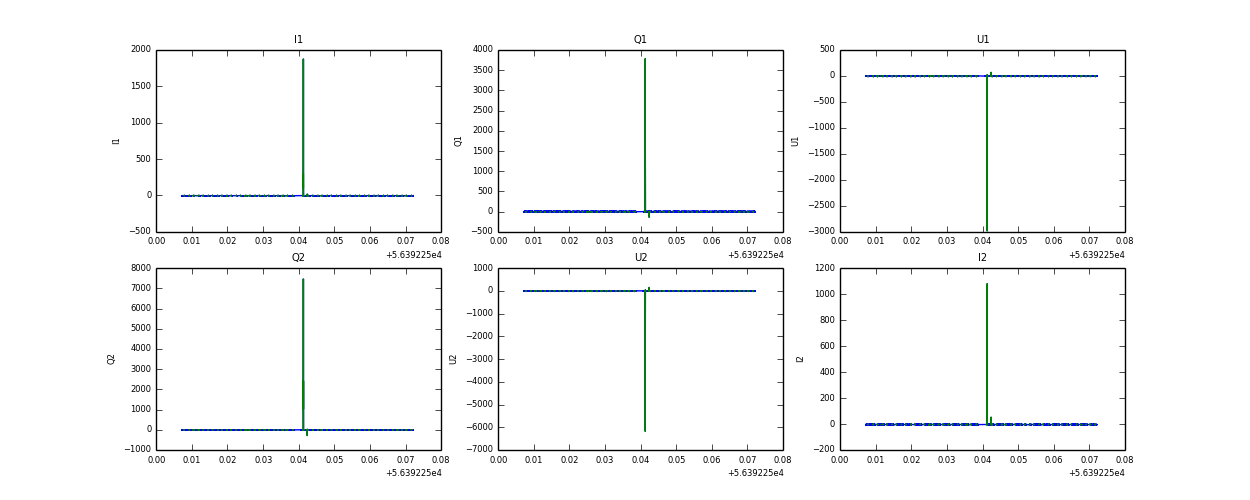
Raw channel data