Overview

[1] [2] [3]

Back        Forward

Overview

[1] [2] [3]

Back        Forward

Overview

[1] [2] [3]

Back        Forward

Raw fits file and map fits file

11-Apr-2013:06:07:12_reload.fits

11-Apr-2013:06:07:12_reload_map.fits


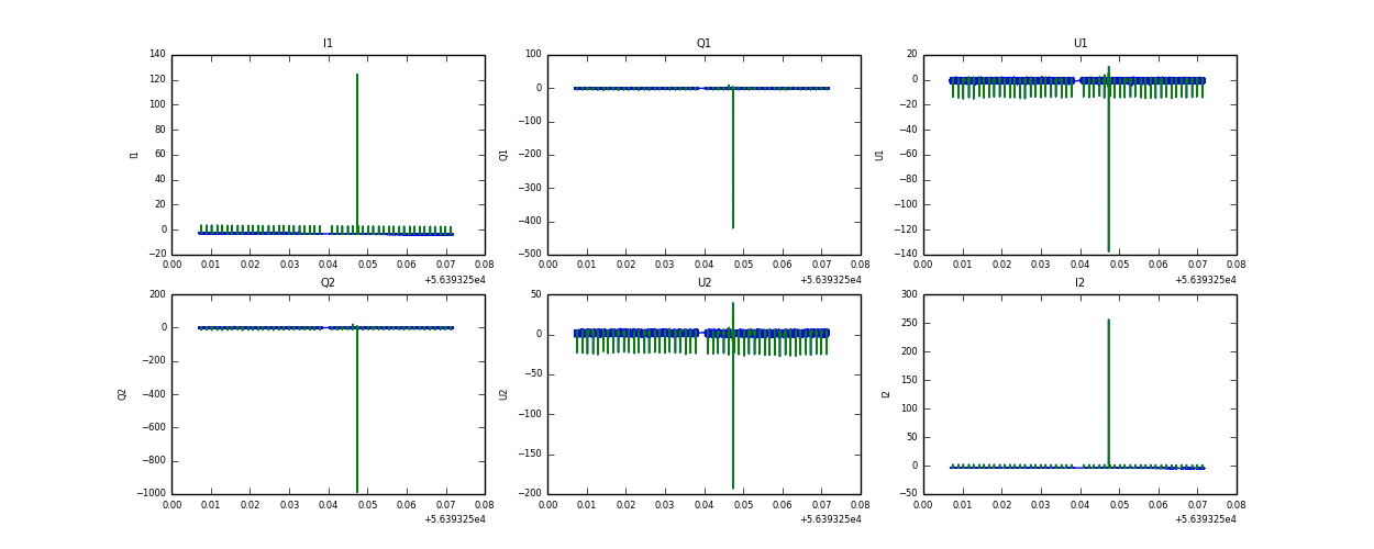
Raw channel data