Overview

[1] [2] [3]

Back        Forward

Overview

[1] [2] [3]

Back        Forward

Overview

[1] [2] [3]

Back        Forward

Raw fits file and map fits file

06-May-2013:14:08:17_reload.fits

06-May-2013:14:08:17_reload_map.fits


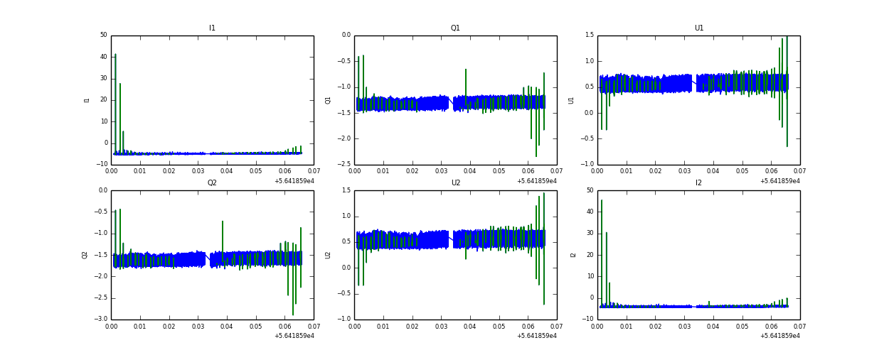
Raw channel data