Overview

[1] [2] [3]

Back        Forward

Overview

[1] [2] [3]

Back        Forward

Overview

[1] [2] [3]

Back        Forward

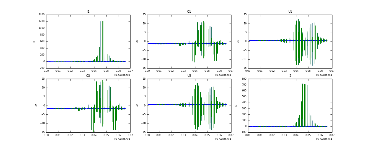
Raw fits file and map fits file

06-May-2013:15:49:13_reload.fits

06-May-2013:15:49:13_reload_map.fits


Raw channel data