Overview

[1] [2] [3]

Back        Forward

Overview

[1] [2] [3]

Back        Forward

Overview

[1] [2] [3]

Back        Forward

Raw fits file and map fits file

16-May-2013:07:59:19_reload.fits

16-May-2013:07:59:19_reload_map.fits


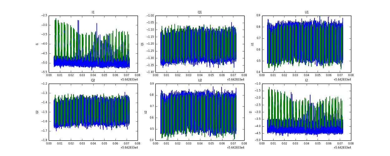
Raw channel data