Overview

[1] [2] [3]

Back        Forward

Overview

[1] [2] [3]

Back        Forward

Overview

[1] [2] [3]

Back        Forward

Raw fits file and map fits file

16-May-2013:19:48:29_reload.fits

16-May-2013:19:48:29_reload_map.fits


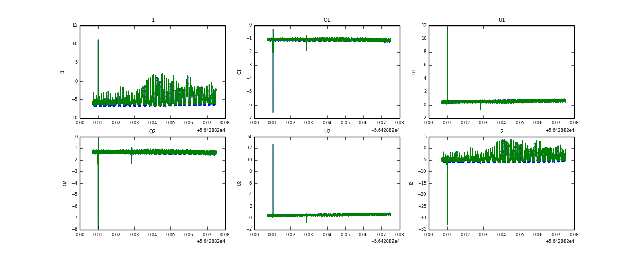
Raw channel data