Overview

[1] [2] [3]

Back        Forward

Overview

[1] [2] [3]

Back        Forward

Overview

[1] [2] [3]

Back        Forward

Raw fits file and map fits file

20-May-2013:22:10:36_reload.fits

20-May-2013:22:10:36_reload_map.fits


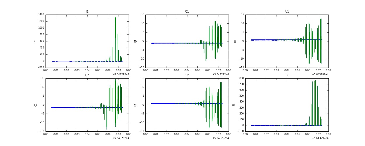
Raw channel data